Sennae folium
Droge: Sennae folium / Sennesblätter
Pflanze: Cassia acutifolia (syn.: C. senna) und Cassia angustifolia / Alexandriner-Senna und Tinnevelly-Senna
Familie: Fabaceae / Hülsenfrüchtler
Gruppe: Anthocyan-Drogen und Gerbstoff-Drogen
Herkunft: Südindien (C. angustifolia) bzw. Somalia (C. acutifolia)
- Kleine, unbewehrte Bäume oder große Sträucher; Wuchshöhe 1 - 1,5 m
- Behaart oder kahl
- Wechselständig stehende Laubblätter; drüsenlos und paarig gefiedert mit 3 bis 25 Paaren Fiederblättchen
- Blüten stehen in endständigen traubigen Blütenständen zusammen; fünfzählig und leicht zygomorph; fünf gelbe, oder selten rötliche Kronblätter
- Zylindrische, abgeflachte und holzig Hülsenfrüchte; öffnen sich zur Reife nicht
Allgemein: Schmal-lanzettliche, bis zu max. 6 cm lange und ca. 1 cm breite Fiederblättchen mit dünner Blattspreite und asymmetrischem Grund; zunächst süßlicher, dann bitterer Geschmack
Mikroskopie: Calciumoxalat in Kristallzellreihen und Drusen; an der Basis gekrümmte, dickwandige und warzige Haare; verschleimte Epidermiszellen
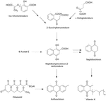
- > 2,5% Dianthron-8,8-diglucoside: Sennosid A und B ("Homodianthrone") sowie C und D ("Heterodianthrone")
- in frischen Blättern liegen die Anthranoide hauptsächlich als Anthronglykoside vor → bei langsamer Trocknung und niedrigen Temperaturen enzymatische Dehydrierung zu Dianthronen (postmortal)
- Mono- und Diglykoside von Aloeemodin und Rhein
- Unterscheidung beider Senna-Arten: Naphthalinglykosid Tinnevellinglycosid (C. angustifolia) versus 6-Hydroxymusizinglucosid (C. senna)
Indikation: Anwendung als pflanzliches Laxans bei Obstipation (Komm. E+)
Wirkmechanismus: Darm: siehe Aloe capensis
Nebenwirkungen: Kaliumverlust, Darmträgheit (keine monomeren Aglyka enthalten, daher besser als Rhamnaceen- und Aloe-Anthrachinone)
Wenn nichts anderes angegeben, in der Praxis Tinnevellyfrüchte abgeben