Sie verwenden einen veralteten Browser, der von LabXpert nicht mehr unterstützt wird. Bitte nutzen Sie LabXpert mit einem der vorgeschlagenen Browser, wie z.B. Google Chrome, Mozilla Firefox, Microsoft Edge oder Apple Safari. Vielen Dank!

Juglandis folium

Pflanze, Zeichnung*
Pflanze, Zeichnung*
Pflanze, Foto 1**
Pflanze, Foto 1**
Pflanze, Foto 2***
Pflanze, Foto 2***
Pflanze, Foto 3***
Pflanze, Foto 3***
Pflanze, Foto 4**
Pflanze, Foto 4**
Droge, Foto****
Droge, Foto****

Droge: Juglandis folium / Walnussblätter

Pflanze: Juglans regia / Echte Walnuss

Familie: Juglandaceae / Walnussgewächse

Gruppe: Weitere Naphtochinoid-Drogen

Herkunft: Südwest- und Zentralasien

  • 15 bis 30 m hoher Baum, in dichteren Baumbeständen auch bis 30 m hoch
  • Wechselständige Blätter, unpaarig gefiedert mit fünf bis neun (meist sieben) Fiederblättchen und einer Länge bis zu 30 cm
  • Echte Walnuss ist einhäusig; männliche Blüten sitzen zu vielen in einem Blütenstand, mit der Form eines hängenden Kätzchens; weibliche Blüten sitzen in wenigblütigen Blütenständen
  • Die Kerne der Früchte, die ihre Reife durch eine braun und rissig werdende Schale anzeigen, sind als Walnüsse bekannt

Allgemein: Spröde, unbehaarte Blattfbruchstücke; matritzenartiges, rautenförmiges Muster der Blattnerven; feine Haarbüschel in den Nervenwinkeln der Unterseite; adstringierender, leicht bitterer Geschmack.

Mikroskopie: Spaltöffnungen mit vier Nebenzellen (ausschließlich in der unteren Epidermis lokalisiert); einzellige, verdickte Haare, einzeln und in Büscheln auftretend. Drüsenhaare auf beiden Blattseiten; im Schwammparenchym farblose Zellen mit Oxalatdrusen.

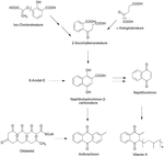
  • Naphthochinone Juglon, Hydrojuglon und deren O-Glykoside (v. a. in frischen Blättern; in der Droge lediglich in Spuren)
  • 9-10% Gerbstoffe, v. a. Ellagitannine (Grundkörper: Ellagsäure)
  • Flavonoide
  • ätherisches Öl (wenig)

Ellagsaeure
Ellagsaeure
Hydrojuglon
Hydrojuglon
Juglon
Juglon

Indikation: Äußerlich bei leichten Entzündungen oder Hyperhidrosis (Komm. E+); innerliche Annwendung (volksmedizinisch): Darmkatarrh, Tonsillitis, Wurmerkrankungen

Wirkmechanismus: Adstringierend, antiseptisch

Nebenwirkungen: Es gibt Berichte über mutagene Effekte nach innerlicher Anwendung über längere Zeiträume (Zungenkarzinome)

  • Juglon ist instabil und polymerisiert leicht zu braunschwarzen Produkten
  • Juglon als Keimungsinhibitor für viele Pflanzen → unter Walnussbäumen wächst fast nichts (= Allelopathie)

  • Imupret®

Premium-Login

Melden Sie sich für Ihren persönlichen Premium-Bereich auf pharma4u.de an.

Noch keinen Zugang? Jetzt registrieren

Kontakt

Brauchen Sie Hilfe? So erreichen Sie uns.

06196/202558-0
Mo - Fr, 9 - 13 Uhr
FAQ
Häufige Fragen