Sie verwenden einen veralteten Browser, der von LabXpert nicht mehr unterstützt wird. Bitte nutzen Sie LabXpert mit einem der vorgeschlagenen Browser, wie z.B. Google Chrome, Mozilla Firefox, Microsoft Edge oder Apple Safari. Vielen Dank!

Hyperici herba

Pflanze, Zeichnung*
Pflanze, Zeichnung*
Pflanze, Foto 1*
Pflanze, Foto 1*
Pflanze, Foto 2**
Pflanze, Foto 2**
Pflanze, Foto 3**
Pflanze, Foto 3**
Pflanze, Foto 4**
Pflanze, Foto 4**
Droge, Foto 1***
Droge, Foto 1***
Droge, Foto 2****
Droge, Foto 2****

Droge: Hyperici herba / Johanniskraut

Pflanze: Hypericum perforatum / Echtes Johanniskraut

Familie: Hypericaceae (syn. Clusiaceae) / Johanniskrautgewächse

Gruppe: Weitere Naphtochinoid-Drogen

Herkunft: Europa, Asien; Nordamerika (eingebürgert)

  • Mehrjährige, etwa 60 cm hohe Pflanze
  • Blätter und goldgelbe Blüten mit Drüsen besetzt
  • Blütenstand: Trugdolde

Allgemein: Zur Zeit der Blüte gesammelte Zweispitzen mit Blättern und gelben Blüten; in Blättern vorhandene, kugelige, durchscheinende Exkretbehälter ('perforatum') enthalten bis zu 1% ätherisches Öl (aliphatische und Terpen-KW) und Lipide; in Blättern und gelben Kronblättern sind daneben schwarze Pünktchen zu erkennen → lysigene Exkretbehälter mit Hypericin (Zerreiben der Blätter verursacht rote Finger)

Mikroskopie: Farblose Exkretbehälter und dunkelrote Hypericinbehälter (s.o.)

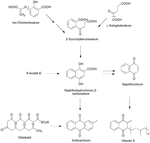
  • 0,1-0,3% Dehydrodianthrone: Hypericin und Pseudohypericin (1:2), Proto-, Protopseudo- und Cyclopseudohypericin (Hypericin fluoresziert im Tageslicht rot)
  • 0,2-4% Phloroglucinderivate: Hyperforin (oxidations- und licht-empfindlich)
  • Ätherisches Öl
  • 2-4% Flavonoide: Hyperosid, Rutin
  • Biflavonoid: Biapigenin
  • Procyanidine: Catechine
  • Xanthone

Hyperforin
Hyperforin
Hypericin
Hypericin
Pseudohypericin
Pseudohypericin

Indikation: Verwendung als Antidepressivum bei leichten bis mittelstarken Formen (Wirkeintritt erst nach 2-3 Wochen!)

Wirkmechanismus: Hyperforin → hemmt Wiederaufnahme von Serotonin und Noradrenalin aus dem synaptischen Spalt, aber auch die Wiederaufnahme von GABA, Dopamin und Glutamat → β-Down-Regulation, 5-HT2-Up-Regulation; Hypericine → sehr schwache MAO-Hemmer 

Nebenwirkungen: Serotonin-Syndrom (bei gleichzeitiger Gabe anderer Reuptake-Inhibitoren)

Klin. Datenlage sehr gut!

  • WW mit SSRI zudem mit einigen weiteren AS wegen Induktion von CYP oder p-GP
  • Für die Photosensibilisierung ist Hypericin verantwortlich,
  • Äußerliche Verwendung von Hyperici oleum (Olivenölauszug) zur Wundheilung (z.B. wunde Brustwarzen nach Stillen)

Premium-Login

Melden Sie sich für Ihren persönlichen Premium-Bereich auf pharma4u.de an.

Noch keinen Zugang? Jetzt registrieren

Kontakt

Brauchen Sie Hilfe? So erreichen Sie uns.

06196/202558-0
Mo - Fr, 9 - 13 Uhr
FAQ
Häufige Fragen